電気工事士技能試験セット KP-001 |
NEW DROP ウォータプライヤー (BWP-250) |
マーベル MARVEL VA線ケーブルストリッパー JVA-123 [A011215] |
VESSEL(ベッセル)VAストリッパー 3200VA-1 |
ロブスター(エビ印)ロブテックス LOBSTER エコ電線対応 VVF線ストリッパー EEF203 |
次回使える送料無料クーポンついてます電気工事士技能試験必携!【送料無料】VESSEL VA線スト... |
第二種電気工事士技能試験器具・消耗品セット 平成28年版 |
第二種電気工事士技能試験ケーブルセット+器具・消耗品セット 平成28年版 |
【在庫特価】ロブテックス(エビ印) 圧着工具リングスリーブ(E)用 AK17A |
【即日発送】】【NEW】【電気工事士 技能試験練セット】【器具セット】★ボンド線止めネジま... |
HOZAN(ホーザン)[S-19]電気工事士技能試験セット【2013ショップ・オブ・ザ・イヤー受賞店】... |
出題率が高いのは、これが一般に使われている交流電気の基本だからです。
このあたりの問題が理解できないと、ご家庭の電気に関する計算が出来ません。
電力会社から供給される電気は交流電気です。
交流電気は波の様に変化しながら送電されています。そんな交流電気は電気機器に入ると直流に変換されます。
整流器やコンデンサ、コイルなどが使用されて初めて家庭にある電気機器は作動します。
波の様に変化する交流電気は一定の電圧や電流ではありません。
最大値と実効値の関係式は以下のようになります。
EmはE maxの意味。
実効値は同じ発熱効果を生じる直流の電流値です。そういった値にしないと、オームの法則などには使えません!
また、平均値という値もあります。
EaはE averageの意味

一般家庭の100Vと呼ばれている電圧は実効値であり、最大値はEm=100√2≒141V、平均値はEa=2×141(Em)÷3.14≒90.1Vとなります。 一般家庭の電圧も瞬間的には141V流れると言うことです!
下の写真はオシロスコープによる電圧の波形を測定したモノ。
赤い線を挟んで、上下に電圧が変化しています。
こんな交流電気ですが家庭で使用する電気機器は交流を直流に変換して使用しています。
最初から直流を送ればよいのですが、直流電気は送電での劣化が大きいので、交流で電気は届けられます。
また、電圧を簡単に上げ下げできる利点もあります。
そんな交流電気もそのままではご家庭の電気機器では使用できません。
整流器、コイル、コンデンサなどを組み合わせて直流に変換し安定させる部品が電気機器の中に入っています。
さて、コイルとコンデンサですが、抵抗と組み合わさると抵抗が増えます。一般的にいうと電気を食います。理由があって組み込んでいるのでしょうがないのですが、わがままな奴なのでそのまま一緒になる(普通に計算)のを良しとしないのです。
そんな小難しい関係なので、抵抗との合成はちょっと気を遣ってしまいまして、合成抵抗はインピーダンスなる呼び方をします。
何にせよ合成しなければオームの法則の式には代入できませんので、これを合成します。
これが、インピーダンス(Z)を求める式です。単位はもちろん〔Ω〕です。
これはオームの法則で言えば“R”に該当しますので、そのまま式に代入すれば、電圧や電流を求めることが出来ます。
参考書に載っている以下の式は、正直覚えなくても良い様な気がします。
左は抵抗の電圧、右はコイルの電圧を求める式
I=V/Rにインピーダンス
を代入、すると
の式になります。
これを更にV=IRの式に代入すると、先ほどの式になります。
正直、第2種電気工事士の試験にインダクタンスやキャパシタンスの理解がいるとも思えませんが、力率の存在だけは交流の計算をするときに切っても切れません。
P〔W〕=IVcosθ だからです。
黒文字の部分だけを見れば、電力を求める式です。それにみょ~なモノが付いています。それがcosθです。
これはコサイン シータと読みます。 cosθは力率です。


回路は学習のために抵抗にコイルを組み込んだ、無駄であり得ないモノですが、コイルを組み込んでいるので右の図のように電圧と電流の波形がずれています。位相差となっているAの地点だと、電圧はプラスにあるようですが、電流は0です。これでは電気として不完全で仕事は出来ません。まぁ、全体として仕事が出来ていればそれで良しとして、じゃぁ、このズレ(位相差)が無いときに比べてどの程度の割合なのかを計算するのが力率です(乱暴な説明ですが、これ以上の理解は試験に必要ありません)
で、100V交流、電流10A、力率85%の回路だとすると、 P〔W〕=10×100×0.85=850Wと言うことになります。
この力率はインピーダンスによって変わってきます。
この関係式が次のようなモノです。


インピーダンスにおける抵抗の割合です。


並列の場合はインピーダンスにおけるコイルの割合が力率になります。
並列回路の場合は分流していますので、電流からも力率を求めることが出来ます。


CコンデンサとLコイルが並列接続の時は、電流はI=IX-ICとなります。
本当に難しいですねぇ。
まぁ、とりあえず問題を解いていくうちに使う公式が身に付きますので、例題をやってみましょう。

図のような回路で、流れる電流〔A〕と力率〔%〕は。

イ.5A 40% ロ.5A 60% ハ.10A 80% ニ.10A 90%
Z=√122+162=√400=20Ω〔インピーダンスZの求め方〕
I=V/R=100/20=5A〔オームの法則〕
cosθ=R/√R2+X2より=12/20=0.6となる。
%にする×100=60%
答えはロです。

図のような交流回路で、抵抗の両端の電圧が80〔V〕、リアクタンスの両端の電圧が60〔V〕であるとき、負荷の力率〔%〕は。

イ.43 ロ.57 ハ.60 二.80
この場合、全電圧と負荷にかかる電圧が提示されているので、その比が力率となる。
=80/100=0.8
%にする×100=80%
答えはニです。
![]()
この問題について「何故こうなってるのですか」と質問があったので追記します。
負荷とコイルにそれぞれ掛かっている電圧が80Vと60V。これを「何故」ということなんですが、これは電気の基本として、直列回路では電圧は分圧するという事からするとおかしな事に感じてしまうでしょう。
20Vはどこから来たのでしょうか?
これ、説明はとても難しくなります。ですので、今は(多分一生でも問題はないでしょう)、コイルやコンデンサはで特殊な働きをするとだけ覚えてください。
また、試験問題ではこれらの内容を知らなくても全く支障がありません。
ただ、直列回路であれば 力率=抵抗の電圧/電源の電圧
並列回路であれば 力率=抵抗への電流/全体の電流 で、力率を計算できることも、
頭に入れておいた方がよいでしょう。
ちなみに、この図で抵抗は4Ω、コイルは3Ωです。
Z=√16+9=5Ω インピーダンスは5Ωです。
電流はI=100/5=20A
そうすると、抵抗に掛かる電圧Vは V=20×4=80V コイルに掛かる電圧Vは V=20×3=60V となります。
ですが!コイルは電気抵抗と同じように抵抗とはなるのですが、エネルギーを消費しないのです。したがって、計算上必要な数値ではありますが、見せかけの数値と捉えて問題ありません。
それでは、もっと問題をこなしてゆきましょう。
![]()
1.図のような回路で、抵抗に流れる電流が6〔A〕、リアクタンスに流れる電流が8〔A〕であるとき、回路の力率〔%〕は。

イ.43 ロ.60 ハ.75 ニ.80
2.図のような正弦波交流回路の電源電圧νに対する電流i の波形として、正しいものは。


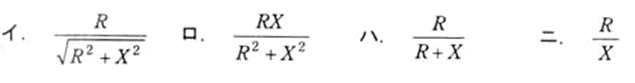
3.図のような交流回路の力率〔%〕を示す式は。


4.力率の最もよい電気機械器具は。
イ.電気ストーブ ロ.電気洗濯機 ハ.交流アーク溶接機 ニ.高圧水銀灯
5.単相200〔V〕回路で消費電力2.0〔kW〕、力率80〔%〕のルームエアコンを使用した場合、回路に流れる電流〔A〕は。
イ.7.5 ロ.8.0 ハ.10.0 二.12.5
6.図のような交流回路において、抵抗4Ωとコイル3Ωに加わる電圧は。

イ. R:40 ロ.R:60 ハ.R:80 ニ.R:100
X:30 X:40
X:60 X:80
7.図のような交流回路において、抵抗8〔Ω〕の両端間の電圧V〔V〕は。

イ.43 ロ.57 ハ.60 二.80
8.図のような交流回路の力率を示す式は。


9.単相100〔V〕の屋内配線回路で、消費電力100〔W〕の白熱電球4個と負荷電流5〔A〕、力率80〔%〕の単相電動機1台を10日間連続して使用したときの消費電力量〔kW・h〕の合計は。
イ.8 ロ.192 ハ.216 二.246
![]()
式に当てはめると、cosθ=6/√64+36=6/10=0.6%にする×100=60%
テキスト確認。
式に%にする×100を付けると解答となります。
電気ストーブは白熱電球と同じく、交流電気そのままで使用できます。
つまり安定器など用いないので、力率は100%です。
P=IVcosθより、I=P/(Vcosθ)
I=2000/(200×0.8)
I=2000/160=12.5A
VR=100×4/√ 42+32=400/√25=400/5=80V
VX=100×3/√42+32=300/√25=300/5=60V
インピーダンスZの式しか思い出せなくても、こんな解き方があります。
Z=√42+32=5Ω
I=V/R=100/5=20A
V=IR=20×4=80V
結局同じ事をしているのですが、順序立てて考える基本は大事だと言うことです。
これも順序立てて計算しましょう。
Z=√82+62=10Ω
I=V/R=100/10=10A
V=IR=10×8=80V
力率はインピーダンスに対する抵抗の割合なので、
白熱電球は力率が関係ない事に注意。100W×4個=400W
電動機の電力 P=IVcosθより =5A×100V×0.8=400W
2つで800Wを連続10日間=800W×24h×10日=192000W
これをkWに直す。192000W×0.001=192